题目内容
已知数列
的前
项和为
,且
,则
______________.
【答案】
.
【解析】
试题分析:由题意知
,
所以
,
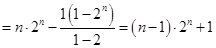
下式减上式得![]()
.
考点:错位相减求和
练习册系列答案
相关题目
题目内容
已知数列
的前
项和为
,且
,则
______________.
.
【解析】
试题分析:由题意知
,
所以
,
下式减上式得![]()
.
考点:错位相减求和