题目内容
已知数列{an}满足A.2
B.-3
C.-
D.
【答案】分析:由题意和递推公式依次求出a2、a3、a4、a5,找出数列的项之间规律即周期性,利用周期性求出a2011.
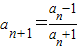
解答:解:由a1=2和
得,
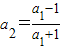
=
,
=
,
=-3,
=2,…,
a2011=a502×4+3=a3=
,
故选C.
点评:本题考查了数列的递推公式应用,以及数列的周期性的应用,属于中档题.
解答:解:由a1=2和
a2011=a502×4+3=a3=
故选C.
点评:本题考查了数列的递推公式应用,以及数列的周期性的应用,属于中档题.
练习册系列答案
相关题目