题目内容
在直角坐标系xOy中,直线l的方程为x-y+4=0,曲线C的参数方程为(1)已知在极坐标系(与直角坐标系xOy取相同的长度单位,且以原点O为极点,以x轴正半轴为极轴)中,点P的极坐标为
(2)设点Q是曲线C上的一个动点,求它到直线l的距离的最小值.
【答案】分析:(1)由曲线C的参数方程为
,知曲线C的普通方程是
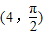
,由点P的极坐标为
,知点P的普通坐标为(4cos
,4sin
),即(0,4),由此能判断点P与直线l的位置关系.
(2)由Q在曲线C:
上,(0°≤α<360°),知
到直线l:x-y+4=0的距离
=
,(0°≤α<360°),由此能求出Q到直线l的距离的最小值.
解答:解:(1)∵曲线C的参数方程为
,
∴曲线C的普通方程是
,
∵点P的极坐标为
,
∴点P的普通坐标为(4cos
,4sin
),即(0,4),
把(0,4)代入直线l:x-y+4=0,
得0-4+4=0,成立,
故点P在直线l上.
(2)∵Q在曲线C:
上,(0°≤α<360°)
∴
到直线l:x-y+4=0的距离:

=
,(0°≤α<360°)
∴
.
点评:本题考查椭圆的参数方程和点到直线距离公式的应用,解题时要认真审题,注意参数方程与普通方程的互化,注意三角函数的合理运用.
(2)由Q在曲线C:
解答:解:(1)∵曲线C的参数方程为
∴曲线C的普通方程是
∵点P的极坐标为
∴点P的普通坐标为(4cos
把(0,4)代入直线l:x-y+4=0,
得0-4+4=0,成立,
故点P在直线l上.
(2)∵Q在曲线C:
∴
=
∴
点评:本题考查椭圆的参数方程和点到直线距离公式的应用,解题时要认真审题,注意参数方程与普通方程的互化,注意三角函数的合理运用.
练习册系列答案
相关题目