题目内容
函数f(x)=x3,在等差数列{an}中,a3=7,a1+a2+a3=12,记Sn=
,令bn=anSn,数列{bn}的前n项和为Tn,
(1)求{an}的通项公式和Sn;
(2)求证:Tn<
。
(1)求{an}的通项公式和Sn;
(2)求证:Tn<
解:(1)设数列{an}的公差为d,
由
,解得
,d=3,
∴
,
,
∴
=3n+1。
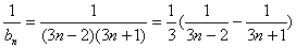
(2)
,
∴
,
,
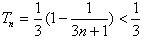
∴
。
由
∴
∴
(2)
∴
∴
练习册系列答案
相关题目