题目内容

已知.

(1)求的最小值;

(2)证明:.

 

【答案】

(1)最小值为3;(2)证明过程详见解析.

【解析】

试题分析:本题主要考查利用基本不等式进行不等式的证明问题,考查学生的分析问题的能力和转化能力.第一问,用基本不等式分别对进行计算,利用不等式的可乘性,将两个式子乘在一起,得到所求的表达式的范围,注意等号成立的条件必须一致;第二问,先用基本不等式将变形,再把它们加在一起,得出已知中出现的,从而求出最小值,而所求证的式子的右边,须作差比较大小,只需证出差值小于0即可.

试题解析:(Ⅰ)因为

所以,即

当且仅当时,取最小值3.      5分

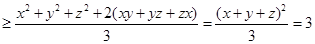
(Ⅱ)

所以

考点:1.基本不等式;2.不等式的性质;3.作差比较大小.

 

练习册系列答案
相关题目

违法和不良信息举报电话:027-86699610 举报邮箱:58377363@163.com

精英家教网