题目内容
已知角α的终边在直线y=2x上,求角α的正弦、余弦和正切值.
【答案】分析:设角α终边上任一点P(k,2k)(k≠0),则x=k,y=2k,
,当k>0时,r=
k,
当k<0时,
,分别利用三角函数的定义运算.
解答:解:设角α终边上任一点P(k,2k)(k≠0),则x=k,y=2k,
.
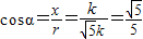
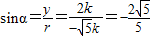
当k>0时,
,α是第一象限角,
,
,
;
当k<0时,
,α是第三象限角,
,
,
.
综上,角α的正弦、余弦和正切值分别为
、
、2,或
、
、2.
点评:本题考查任意角的三角函数的定义,体现了分类讨论的数学思想.
当k<0时,
解答:解:设角α终边上任一点P(k,2k)(k≠0),则x=k,y=2k,
当k>0时,
当k<0时,
综上,角α的正弦、余弦和正切值分别为
点评:本题考查任意角的三角函数的定义,体现了分类讨论的数学思想.
练习册系列答案
相关题目