题目内容
在△ABC中,∠B=45°,AC=
,cosC=
,求
(1)BC的值;
(2)若点D是AB的中点,求中线CD的长度。
(1)BC的值;
(2)若点D是AB的中点,求中线CD的长度。
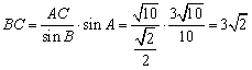
解:(1)由
,得
,
∴
,
由正弦定理,得
。
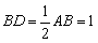
(2)由正弦定理,得
,
由题意,知
,
由余弦定理,知
。
∴
由正弦定理,得
(2)由正弦定理,得
由题意,知
由余弦定理,知
练习册系列答案
相关题目
在△ABC中,∠B=90°,AC=
,D,E两点分别在AB,AC上.使
=
=2,DE=3.将△ABC沿DE折成直二面角,则二面角A-EC-B的余弦值为( )
| 15 |
| 2 |
| AD |
| DB |
| AE |
| EC |
A、
| ||||
B、
| ||||
C、
| ||||
D、
|
在△ABC中,∠B=
,三边长a,b,c成等差数列,且a,
,c成等比数列,则b的值是( )
| π |
| 3 |
| 6 |
A、
| ||
B、
| ||
C、
| ||
D、
|