题目内容

如图,是⊙的直径,弦的延长线相交于点垂直的延长线于点

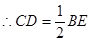
求证:(1)

(2)四点共圆.

 

【答案】

(1)见解析;(2)见解析.

【解析】

试题分析:(1)根据相似三角形和比例性质证明;(2)证明四点与点等距即可.

试题解析:(1)

                5分

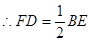
(2)是⊙的直径,所以四点与点等距,四点共圆    10分

考点:几何证明选讲、相似三角形.

 

练习册系列答案
相关题目

违法和不良信息举报电话:027-86699610 举报邮箱:58377363@163.com

精英家教网