题目内容
某兴趣小组要测量电视塔AE的高度H(单位:m)。如示意图,垂直放置的标杆BC的高度h=4 m,仰角∠ABE=α,∠ADE=β。
(I)该小组已测得一组α,β的值,算出了tanα=1.24,tanβ=1.20,请据此算出H的值;
(Ⅱ)该小组分析若干测得的数据后,认为适当调整标杆到电视塔的距离d(单位:m),使α与β之差较大,可以提高测量精度,若电视塔的实际高度为125m,试问d为多少时,α-β最大?
(Ⅱ)该小组分析若干测得的数据后,认为适当调整标杆到电视塔的距离d(单位:m),使α与β之差较大,可以提高测量精度,若电视塔的实际高度为125m,试问d为多少时,α-β最大?
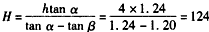
解:(I)由
,
及
得
解得
因此算出电视塔的高度H是124m;
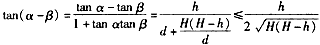
(II)由题设知
,得
由
得
所以
当且仅当
,即
时,上述等号成立
所以当
最大
因为
,则
所以当
时,
最大
故所求的d是
m。
得
解得
因此算出电视塔的高度H是124m;
(II)由题设知
由
得
所以
当且仅当
所以当
因为
所以当
故所求的d是
练习册系列答案
相关题目