题目内容
函数A.关于原点对称
B.关于直线y=x对称
C.关系x轴对称
D.关于y轴对称
【答案】分析:判定函数为偶函数,即可得到结论.
解答:解:函数的定义域为R
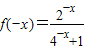
∵
=
=f(x)
∴函数是偶函数
∴函数的图象关于y轴对称
故选D.
点评:本题考查函数奇偶性的判断,考查函数图象的对称性,属于基础题.
解答:解:函数的定义域为R
∵
∴函数是偶函数
∴函数的图象关于y轴对称
故选D.
点评:本题考查函数奇偶性的判断,考查函数图象的对称性,属于基础题.
练习册系列答案
相关题目