题目内容

已知函数:,

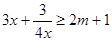
⑴解不等式;

⑵若对任意的,,求的取值范围.

 

【答案】

(1) ①时,不等式的解为R; ②时,;(2).

【解析】

试题分析:(1)含参数的二次不等式的解法要考虑判别式的值.(2)函数恒成立的问题,利用分离变量及基本不等式求最值的思想.

试题解析:⑴可化为,,

①当时,即时,不等式的解为R;

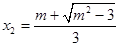
②当时,即时,,,

不等式的解为;

(2),对任意的恒成立,

时,,即时恒成立;

因为,当时等号成立.所以,即;

当x=0显然成立.综上.

考点:1.含参数的不等式的解法.2.函数恒成立问题.3.基本不等式求最值问题.

 

练习册系列答案
相关题目

违法和不良信息举报电话:027-86699610 举报邮箱:58377363@163.com

精英家教网