题目内容

在△ABC中,

(Ⅰ)求角C的大小;

(Ⅱ)若△ABC最大边的边长为,求最小边的边长.

考点:

两角和与差的正切函数;正弦定理.

专题:

计算题.

分析:

(Ⅰ) 根据tanC=﹣tan(A+B),利用两角和的正切公式求出结果.

(Ⅱ)根据,可得AB边最大为,又,所以∠A最小,BC边为最小边,

求出sinA的值,由正弦定理求得BC的值.

解答:

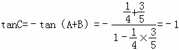
解:(Ⅰ)∵C=π﹣(A+B),∴.﹣﹣﹣﹣﹣﹣﹣﹣﹣﹣﹣﹣﹣﹣2'

又∵0<C<π,∴.﹣﹣﹣﹣﹣﹣﹣﹣﹣﹣﹣﹣﹣﹣﹣﹣﹣﹣4'

(Ⅱ)∵,∴AB边最大,即.﹣﹣﹣﹣﹣﹣﹣﹣﹣﹣﹣﹣﹣﹣﹣﹣﹣﹣﹣﹣﹣﹣﹣﹣﹣﹣6'

所以∠A最小,BC边为最小边.﹣﹣﹣﹣﹣﹣﹣﹣﹣﹣﹣﹣﹣﹣﹣﹣﹣﹣﹣﹣﹣﹣﹣﹣﹣8'

.﹣﹣﹣﹣﹣﹣﹣﹣﹣﹣﹣﹣﹣﹣﹣﹣﹣﹣﹣﹣﹣﹣﹣﹣﹣﹣﹣﹣﹣﹣﹣﹣10'

得:

所以,最小边.﹣﹣﹣﹣﹣﹣﹣﹣﹣﹣﹣﹣﹣﹣﹣﹣﹣﹣﹣﹣﹣﹣﹣﹣﹣﹣﹣﹣12'

点评:

本题考查两角和的正切公式,正弦定理以及根据三角函数的值求角,判断∠A最小,BC边为最小边,是解题的关键.

练习册系列答案
相关题目

违法和不良信息举报电话:027-86699610 举报邮箱:58377363@163.com

精英家教网