题目内容
在等比数列{an}中,Sn为{an}的前n项和,且S3=(1)求an.
(2)求数列{nan}的前n项和Tn.
【答案】分析:(1)依题意,可得到关于首项a1与公比q的方程组,解之即可,从而可求an;
(2)由(1)知an=2n-2,于是Tn=1•2-1+2•2+3•21+…+n•2n-2,利用错位相减法即可求得Tn.
解答:解:(1)当q=1时,不合题意,舍去-------------------------(1分)
当q≠1时,
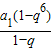
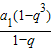
=
且
=
,
解得q=2,a1=
---------------------------------------(4分)
所以an=2n-2------------------------------------(6分)
(2)nan=n•2n-2---------------------------------------------------(7分)
所以Tn=1•2-1+2•2+3•21+…+n•2n-2 ①
2Tn=1•2+2•21+…+(n-1)•2n-2+n•2n-1 ②
①-②:-Tn=
+2+21+…+2n-2-n•2n-1--------------------------(9分)
所以Tn=(n-1)•2n-1+
----------------------------------------------------------(12分)
点评:本题考查等比数列的求和公式的应用,着重考查错位相减法求和,考查解方程的能力,属于中档题.
(2)由(1)知an=2n-2,于是Tn=1•2-1+2•2+3•21+…+n•2n-2,利用错位相减法即可求得Tn.
解答:解:(1)当q=1时,不合题意,舍去-------------------------(1分)
当q≠1时,
解得q=2,a1=
所以an=2n-2------------------------------------(6分)
(2)nan=n•2n-2---------------------------------------------------(7分)
所以Tn=1•2-1+2•2+3•21+…+n•2n-2 ①
2Tn=1•2+2•21+…+(n-1)•2n-2+n•2n-1 ②
①-②:-Tn=
所以Tn=(n-1)•2n-1+
点评:本题考查等比数列的求和公式的应用,着重考查错位相减法求和,考查解方程的能力,属于中档题.
练习册系列答案
相关题目
在等比数列{an}中,若a1=1,公比q=2,则a12+a22+…+an2=( )
| A、(2n-1)2 | ||
B、
| ||
| C、4n-1 | ||
D、
|