题目内容

已知数列{an}中的相邻两项a2k﹣1,a2k是关于x的方程x2﹣(3k+2k)x+3k•2k=0的两个根,且a2k﹣1≤a2k(k=1,2,3,…).

(I)求a1,a3,a5,a7

(II)求数列{an}的前2n项和S2n

(Ⅲ)记,求证:

解:(I)解:方程x2﹣(3k+2k)x+3k•2k=0的两个根为x1=3k,x2=2k

当k=1时,x1=3,x2=2,所以a1=2;

当k=2时,x1=6,x2=4,所以a3=4;

当k=3时,x1=9,x2=8,所以a5=8时;

当k=4时,x1=12,x2=16,所以a7=12.

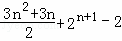
(II)解:S2n=a1+a2++a2n=(3+6++3n)+(2+22++2n)=

(III)证明:

所以.当n≥3时,=

同时,=

综上,当n∈N*时,

练习册系列答案
相关题目

违法和不良信息举报电话:027-86699610 举报邮箱:58377363@163.com

精英家教网