题目内容
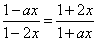
已知a,b∈R且a≠2,定义在区间(-b,b)内的函数
是奇函数。
(Ⅰ)求函数f(x)的解析式及b的取值范围;
(Ⅱ)讨论f(x)的单调性。
(Ⅰ)求函数f(x)的解析式及b的取值范围;
(Ⅱ)讨论f(x)的单调性。
解:(Ⅰ)
,
是奇函数,
等价于对于任意-b<x<b都有
成立,
(1)式即为
,
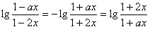
∴
,即
,
此式对于任意x∈(-b,b)都成立等价于
,
因为a≠2,所以a=-2,
所以
;
代入(2)式得:
,即
,
对于任意x∈(-b,b)都成立,相当于
,
从而,b的取值范围为
;
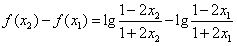
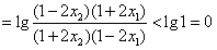
(Ⅱ)对于任意
,且
,
由
,得
,
所以
,
,
从而
,
因此,f(x)在(-b,b)是减函数。
等价于对于任意-b<x<b都有
(1)式即为
∴
此式对于任意x∈(-b,b)都成立等价于
因为a≠2,所以a=-2,
所以
代入(2)式得:
对于任意x∈(-b,b)都成立,相当于
从而,b的取值范围为
(Ⅱ)对于任意
由
所以
从而
因此,f(x)在(-b,b)是减函数。
练习册系列答案
相关题目