搜索
题目内容
=
.
试题答案
相关练习册答案
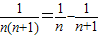
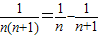
【答案】
分析:
结合数列的特点,
,可考虑利用裂项求和进行求解即可
解答:
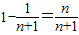
解:∵
∴
=
=
故答案为:
点评:
本题主要考查了数列求和的裂项求和,属于基本方法的应用,属于基础试题
练习册系列答案
1加1阅读好卷系列答案
专项复习训练系列答案
初中语文教与学阅读系列答案
阅读快车系列答案
完形填空与阅读理解周秘计划系列答案
英语阅读理解150篇系列答案
奔腾英语系列答案
标准阅读系列答案
53English系列答案
考纲强化阅读系列答案
相关题目
如图,已知PA⊥⊙O所在的平面,AB是⊙O的直径,AB=2,C是⊙O上一点,且AC=BC,PC与⊙O所在的平面成45°角,E是PC中点.F为PB中点.
(1)求证:EF∥面ABC;
(2)求证:EF⊥面PAC;
(3)求三棱锥B-PAC的体积.
已知
=(
,cosx),
=(cos
2
x,sinx),函数f(x)=
•
-
.
(Ⅰ)求函数f(x)的单调递增区间;
(Ⅱ)若
,求函数f(x)的取值范围;
(Ⅲ)函数f(x)的图象经过怎样的平移可使其对应的函数成为奇函数?
命题“x>4”是命题“x>3或x<-1”成立的( )
A.充分必要条件
B.必要非充分条件
C.充分非必要条件
D.既非充分也非必要条件
如图,平潭气象部门预报:在海面上生成了一股较强台风,在距台风中心60千米的圆形区域内将会受严重破坏.台风中心正从海岸M点登陆,并以72千米/时的速度沿北偏西60°的方向移动.已知M点位于A城的南偏东15°方向,距A城
千米;假设台风在移动过程中,其风力和方向保持不变,请回答下列问题:
(1)A城是否会受到此次台风的侵袭?并说明理由;
(2)若受到此次台风侵袭,该城受到台风侵袭的持续时间有多少小时?
设等差数列{a
n
}前n项和为S
n
,若a
1
=-20,a
4
-a
6
=-6,则当S
n
取最小值时,n等于( )
A.6
B.7
C.8
D.9
已知数列{a
n
}的通项公式
,则a
4
等于( )
A.1
B.2
C.0
D.3
“m<1”是“函数f(x)=x
2
+x+m有零点”的( )
A.充分非必要条件
B.充要条件
C.必要非充分条件
D.既不充分也不必要条件
在下列区间中,函数f(x)=e
x
+4x-3的零点所在的区间为( )
A.(-
,0)
B.(0,
)
C.(
,
)
D.(
,
)
关 闭
试题分类
高中
数学
英语
物理
化学
生物
地理
初中
数学
英语
物理
化学
生物
地理
小学
数学
英语
其他
阅读理解答案
已回答习题
未回答习题
题目汇总
试卷汇总
练习册解析答案