题目内容
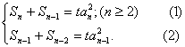
已知数列{an}满足Sn+Sn-1=tan2(t>0,n≥2),且a1=0,n≥2时,an>0,Sn其中是数列{an}的前n项和。
(Ⅰ)求数列{an}的通项公式;
(Ⅱ)若对于n≥2,n∈N*,不等式
恒成立,求t的取值范围。
解:(Ⅰ)由题意,得
(1)-(2),得
(
),(n≥3),
由已知
,故
=
(n≥3),
由
,
得
,
∴
(舍)或
,
即数列
从第二项开始是首项为
,公差为
的等差数列,
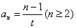
所以
,
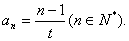
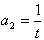
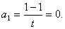
又n=1时,
,
所以
。
(Ⅱ)设
,
要使
,对n≥2,n∈N*恒成立,
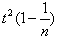
只要Tn=
<t2≤2成立,
所以,
。
(1)-(2),得
由已知
由
∴
即数列
所以
又n=1时,
所以
(Ⅱ)设
要使
只要Tn=
所以,
练习册系列答案
相关题目