题目内容
已知钝角△ABC中,角A,B,C的对边分别为a,b,c,且(
a-c)cosB=bcosC,
(Ⅰ)求角B的大小;
(Ⅱ)设向量m=(cos2A+1,cosA),n=
,且m⊥n,求
的值。
(Ⅰ)求角B的大小;
(Ⅱ)设向量m=(cos2A+1,cosA),n=
解:(Ⅰ)
,
由正弦定理,得
,
∴
,
即
,
∴
,
∵在△ABC中,sin(B+C)=sinA,
∴
,得
,
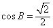
∴
;
(Ⅱ)∵m⊥n,则m·n=0,
即
,
,
,
∵cosA≠0,
∴
,
由sin2A+cos2A=1,sinA>0,
∴
,
则
。
由正弦定理,得
∴
即
∴
∵在△ABC中,sin(B+C)=sinA,
∴
∴
(Ⅱ)∵m⊥n,则m·n=0,
即
∵cosA≠0,
∴
由sin2A+cos2A=1,sinA>0,
∴
则
练习册系列答案
相关题目