题目内容
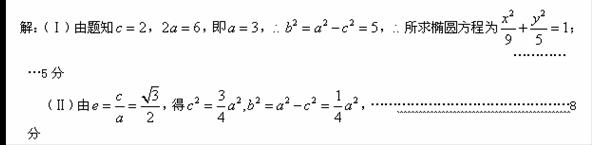
(Ⅰ)若椭圆上任一点到两个焦点(-2,0),(2,0)的距离之和为6,求椭圆的标准方程;
(Ⅱ)若椭圆过(2,0),离心率为
,求椭圆的标准方程.
当椭圆焦点在
轴上时,
,
,
所求椭圆方程为
;…………10分
当椭圆焦点在
轴上时,
,
,
所求椭圆方程为
.…………12分
练习册系列答案
相关题目
题目内容
(Ⅰ)若椭圆上任一点到两个焦点(-2,0),(2,0)的距离之和为6,求椭圆的标准方程;
(Ⅱ)若椭圆过(2,0),离心率为
,求椭圆的标准方程.
当椭圆焦点在
轴上时,
,
,
所求椭圆方程为
;…………10分
当椭圆焦点在
轴上时,
,
,
所求椭圆方程为
.…………12分