搜索
题目内容
设函数
,
(1)若不等式
的解集
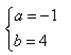
.求
的值;
(2)若
求
的最小值.
试题答案
相关练习册答案
9
练习册系列答案
口算题卡西安出版社系列答案
黄冈360度口算应用题卡系列答案
希望考苑能力测评卷系列答案
名师金卷系列答案
课堂作业武汉出版社系列答案
黄冈天天练口算题卡系列答案
全优读本系列答案
同步练习四川教育出版社系列答案
长江全能学案实验报告系列答案
读写双优阅读与写作专项训练系列答案
相关题目
设函数
f(x)=(1+
1
n
)
x
(n∈N,且n>1,x∈N).
(Ⅰ)当x=6时,求
(1+
1
n
)
x
的展开式中二项式系数最大的项;
(Ⅱ)对任意的实数x,证明
f(2x)+f(2)
2
>f'(x)(f'(x)是f(x)的导函数);
(Ⅲ)是否存在a∈N,使得an<
n
k-1
(1+
1
k
)
<(a+1)n恒成立?若存在,试证明你的结论并求出a的值;若不存在,请说明理由.
仔细阅读下面问题的解法:
设A=[0,1],若不等式2
1-x
-a>0在A上有解,求实数a的取值范围.
解:由已知可得 a<2
1-x
令f(x)=2
1-x
,不等式a<2
1-x
在A上有解,
∴a<f(x)在A上的最大值
又f(x)在[0,1]上单调递减,f(x)
max
=f(0)=2
∴a<2即为所求.
学习以上问题的解法,解决下面的问题:
(1)已知函数f(x)=x
2
+2x+3 (-2≤x≤-1)求f(x)的反函数及反函数的定义域A;
(2)对于(1)中的A,设g(x)=
10-x
10+x
x∈A,试判断g(x)的单调性;(不证)
(3)又若B={x|
10-x
10+x
>2
x
+a-5},若A∩B≠Φ,求实数a的取值范围.
(2013•广州一模)已知n∈N
*
,设函数
f
n
(x)=1-x+
x
2
2
-
x
3
3
+…-
x
2n-1
2n-1
,x∈R
.
(1)求函数y=f
2
(x)-kx(k∈R)的单调区间;
(2)是否存在整数t,对于任意n∈N
*
,关于x的方程f
n
(x)=0在区间[t,t+1]上有唯一实数解?若存在,求t的值;若不存在,说明理由.
设函数
。
(1)若
时,函数
取得极值,求函数
的图像在
处的切线方程;
(2)若函数
在区间
内不单调,求实数
的取值范围。
设函数
。
(1)若
时,函数
取得极值,求函数
的图像在
处的切线方程;
(2)若函数
在区间
内不单调,求实数
的取值范围。
关 闭
试题分类
高中
数学
英语
物理
化学
生物
地理
初中
数学
英语
物理
化学
生物
地理
小学
数学
英语
其他
阅读理解答案
已回答习题
未回答习题
题目汇总
试卷汇总
练习册解析答案