题目内容
给出下面的数表序列:
![]()
其中表n(n=1,2,3,…)有n行,第1行的行个数是1,3,5,…,2n-1,从第2行起,每行中的每个数都等于它肩上的两数之和.
(1)写出表4,验证表4各行中数的平均数按从上到下的顺序构成等比数列,并将结论推广到表n(n≥3)(不要求证明);
(2)每个数表中最后一行都只有一个数,它们构成数列1,4,12,…,记此数列为{bn},求和:
(n∈N*)。
(1)写出表4,验证表4各行中数的平均数按从上到下的顺序构成等比数列,并将结论推广到表n(n≥3)(不要求证明);
(2)每个数表中最后一行都只有一个数,它们构成数列1,4,12,…,记此数列为{bn},求和:
解:(1)表4为
,
它的第1,2,3,4行中的数的平均数分别是4,8,16,32,
它们构成首项为4,公比为2的等比数列,
将这一结论推广到表n(n≥3),即表n(n≥3)各行中的数的平均数按从上到下的顺序构成首项为n,公比为2的等比数列.
(2)表n的第1行是1,3,5,…,2n-1,其平均数是
,
由(1)知,它的各行中的数的平均数按从上到下的顺序构成首项为n,公比为2的等比数列(从而它的第k行中的数的平均数是n·2k-1),
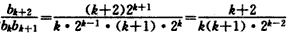
于是,表n中最后一行的唯一一个数为bn=n·2n-1,
因此
(k=1,2,3,…,n),
故




。
它的第1,2,3,4行中的数的平均数分别是4,8,16,32,
它们构成首项为4,公比为2的等比数列,
将这一结论推广到表n(n≥3),即表n(n≥3)各行中的数的平均数按从上到下的顺序构成首项为n,公比为2的等比数列.
(2)表n的第1行是1,3,5,…,2n-1,其平均数是
由(1)知,它的各行中的数的平均数按从上到下的顺序构成首项为n,公比为2的等比数列(从而它的第k行中的数的平均数是n·2k-1),
于是,表n中最后一行的唯一一个数为bn=n·2n-1,
因此
故
练习册系列答案
相关题目