搜索
题目内容
求下列函数的导数:
(1)
;
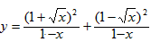
(2)
;
(3)
。
试题答案
相关练习册答案
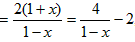
解:(1)∵
∴
即
;
(2)
即
;
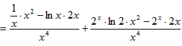
(3)
。
练习册系列答案
西城学科专项测试系列答案
小考必做系列答案
小考实战系列答案
小考复习精要系列答案
小考总动员系列答案
小升初必备冲刺48天系列答案
68所名校图书小升初高分夺冠真卷系列答案
伴你成长周周练月月测系列答案
小升初金卷导练系列答案
萌齐小升初强化模拟训练系列答案
相关题目
求下列函数的导数:
(1)y=(1-
x
)(1+
1
x
);
(2)y=
lnx
x
;
(3)y=tanx;
(4)y=xe
1-cosx
.
求下列函数的导数:
(1)y=x
4
-3x
2
-5x+6;
(2)y=xsinx;
(3)y=
x-1
x+1
.
(4)y=e
(2x+3)
+cos(3x+1)
求下列函数的导数:
(1)f(x)=(3x
2
+1)(2-x)
(2)f(x)=x
2
ln(2x)
(3)f(x)=ln(2x-1)
3
.
求下列函数的导数.
(1)y=2xsin(2x-5);(2)
f(x)=ln
x
2
+1
.
求下列函数的导数:
(1)
y=ln
x
;
(2)y=sin(-5x+2).
关 闭
试题分类
高中
数学
英语
物理
化学
生物
地理
初中
数学
英语
物理
化学
生物
地理
小学
数学
英语
其他
阅读理解答案
已回答习题
未回答习题
题目汇总
试卷汇总
练习册解析答案