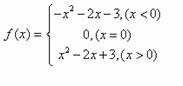
题目内容
已知函数在R上有定义,且其图象关于原点对称,当时,,试求在R上的表达式。
(06年安徽卷理)(12分)
已知函数在R上有定义,对任何实数和任何实数,都有
(Ⅰ)证明;(Ⅱ)证明 其中和均为常数;
(Ⅲ)当(Ⅱ)中的时,设,讨论在内的单调性并求极值。
(2006年安徽卷)已知函数在R上有定义,对任何实数和任何实数,都有
(Ⅰ)证明;
(Ⅱ)证明 其中和均为常数;
(Ⅲ)当(Ⅱ)中的时,设,讨论在内的单调性并求极值.
(14分)已知函数在R上有定义,对任何实数和任何实数,都有
(12分)
已知函数在R上有定义,对任意实数,和任意实数,都有
(1)求的值;
(2)证明:其中和均为常数;
(3)当(2)中的时,设,讨论在内的单调性并求最小值。
(本大题满分12分)已知函数在R上有定义,对任何实数和任何实数,都有
(Ⅲ)当(Ⅱ)中的时,设,讨论在内的单调性并求极值