题目内容
已知椭圆的顶点与双曲线
【答案】分析:先求出双曲线的焦点及离心率,根据已知条件求出椭圆的离心率及焦距,利用椭圆的三个参数的关系,求出椭圆中的三个参数,求出椭圆的方程.
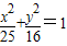
解答:解:设所求椭圆方程为
,
其离心率为e,焦距为2c,
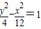
双曲线
的焦距为2c1,离心率为e1,(2分)
则有:c12=4+12=16,c1=4 (4分)
∴
(6分)
∴
,
即
①(8分)
又b=c1=4 ②(9分)
a2=b2+c2③(10分)
由①、②、③可得a2=25
∴所求椭圆方程为
(12分)
点评:本题考查椭圆双曲线的标准方程,以及简单性质的应用,用待定系数法求出椭圆标准方程是解题的关键.
解答:解:设所求椭圆方程为
其离心率为e,焦距为2c,
双曲线
则有:c12=4+12=16,c1=4 (4分)
∴
∴
即
又b=c1=4 ②(9分)
a2=b2+c2③(10分)
由①、②、③可得a2=25
∴所求椭圆方程为
点评:本题考查椭圆双曲线的标准方程,以及简单性质的应用,用待定系数法求出椭圆标准方程是解题的关键.
练习册系列答案
相关题目