题目内容
已知
恒成立,则实数
的取值范围是
.
【答案】
![]()
【解析】
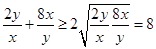
试题分析:因为
恒成立,即
小于
的最小值即可,而
,即
,得
.
考点:基本不等式.
练习册系列答案
相关题目
已知{an}是递增数列,且对任意n∈N*都有an=n2+λn恒成立,则实数λ的取值范围是( )
A、(-
| ||
| B、(0,+∞) | ||
| C、[-2,+∞) | ||
| D、(-3,+∞) |