题目内容
已知双曲线与椭圆共焦点,它们的离心率之和为,求双曲线方程.
答案
已知双曲线与椭圆共焦点,它们的离心率之和为,则双曲线的方程应是
已知双曲线与椭圆共焦点,它们的离心率之和为,则双曲线方程为_____
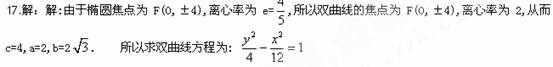
(本题满分10分)已知双曲线与椭圆共焦点,它们的离心率之和为,求双曲线的标准方程。
已知双曲线与椭圆共焦点,且以为渐近线,求双曲线的标准方程和离心率