题目内容
设函数f(x)=kx2-kx-6+k.(1)若对于k∈[-2,2],f(x)<0恒成立,求实数x的取值范围.
(2)若对于x∈[1,2],f(x)<0恒成立,求实数k的取值范围.
【答案】分析:(1)根据对于k∈[-2,2],f(x)<0恒成立,变更主元k(x2-x+1)-6=g(k),可得
,解此不等式组即可求得结果;
(2)法1:要使f(x)=k(x2-x+1)-6<0在x∈[1,2]上恒成立,则只须
在x∈[1,2]上恒成立;求得
的最小值即可;
法2:配方,分类讨论∴
或
或
,即可求得结果.
解答:解:(1)设f(x)=k(x2-x+1)-6=g(k),
则g(k)是关于k的一次函数,且一次项系数为x2-x+1…(2分)
法1、∵
∴g(k)在[-2,2]上递增.…(4分)
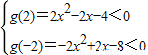
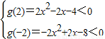
∴g(k)<0?g(2)=2(x2-x+1)-6<0∴解得x的取值范围为:-1<x<2…(6分)
法2、依题只须
∴-1<x<2
(2)法1、要使f(x)=k(x2-x+1)-6<0在x∈[1,2]上恒成立
则只须
在x∈[1,2]上恒成立;…(8分)
而当x∈[1,2]时:
…(10分)
∴k<2…(12分)
法2、∵
在x∈[1,2]上恒成立
∴
或
或
综上解得:k<2
点评:本题考查二次函数的图象和性质,解题时要抓住二次函数与x轴无交点的特点进行求解.主要考查了二次函数的恒成立问题.二次函数的恒成立问题分两类,一是大于0恒成立须满足开口向上,且判别式小于0,二是小于0恒成立须满足开口向下,且判别式小于0.属中档题.
(2)法1:要使f(x)=k(x2-x+1)-6<0在x∈[1,2]上恒成立,则只须
法2:配方,分类讨论∴
解答:解:(1)设f(x)=k(x2-x+1)-6=g(k),
则g(k)是关于k的一次函数,且一次项系数为x2-x+1…(2分)
法1、∵
∴g(k)<0?g(2)=2(x2-x+1)-6<0∴解得x的取值范围为:-1<x<2…(6分)
法2、依题只须
(2)法1、要使f(x)=k(x2-x+1)-6<0在x∈[1,2]上恒成立
则只须
而当x∈[1,2]时:
∴k<2…(12分)
法2、∵
∴
综上解得:k<2
点评:本题考查二次函数的图象和性质,解题时要抓住二次函数与x轴无交点的特点进行求解.主要考查了二次函数的恒成立问题.二次函数的恒成立问题分两类,一是大于0恒成立须满足开口向上,且判别式小于0,二是小于0恒成立须满足开口向下,且判别式小于0.属中档题.
练习册系列答案
相关题目