搜索
题目内容
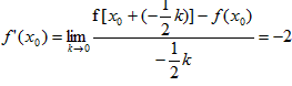
已知f′(x
0
)=-2,求
的值。
试题答案
相关练习册答案
解:∵
(注:
)
∴
。
练习册系列答案
七彩假期期末大提升系列答案
一诺书业暑假作业快乐假期云南美术出版社系列答案
假日氧吧快乐假日精彩生活系列答案
超能学典口算题卡系列答案
学考单元练测卷系列答案
小学期末总冲刺系列答案
步步高系列衔接教材精华课堂暑假天天乐西安出版社系列答案
中考必考名著精讲细练系列答案
特训30天衔接教材武汉出版社系列答案
好学生口算心算速算系列答案
相关题目
已知f′(x
0
)=a,则
lim
△x→0
f(
x
0
+△x)-f(
x
0
-3△x)
2△x
的值为( )
A.-2a
B.2a
C.a
D.-a
已知f′(x
0
)=3,
lim
△x→0
f(
x
0
+2△x)-f(
x
0
)
3△x
的值是( )
A.3
B.2
C.
2
3
D.
3
2
已知f′(x
0
)=3,
的值是
A.
3
B.
2
C.
D.
已知f′(x
0
)=3,
lim
△x→0
f(
x
0
+2△x)-f(
x
0
)
3△x
的值是( )
A.3
B.2
C.
2
3
D.
3
2
关 闭
试题分类
高中
数学
英语
物理
化学
生物
地理
初中
数学
英语
物理
化学
生物
地理
小学
数学
英语
其他
阅读理解答案
已回答习题
未回答习题
题目汇总
试卷汇总
练习册解析答案