题目内容
抛物线y=-4x2的准线方程是 .
【答案】分析:化抛物线的方程为标准方程,可得p值,结合抛物线的开口方向可得方程.
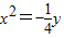
解答:解:化抛物线方程为标准方程可得
,
由此可得2p=
,故
,
,
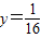
由抛物线开口向下可知,准线的方程为:y=
,
故答案为:
点评:本题考查抛物线的简单性质,涉及抛物线准线方程的求解,属基础题.
解答:解:化抛物线方程为标准方程可得
由此可得2p=
由抛物线开口向下可知,准线的方程为:y=
故答案为:
点评:本题考查抛物线的简单性质,涉及抛物线准线方程的求解,属基础题.
练习册系列答案
相关题目
抛物线y=-4x2的准线方程是( )
A、x=
| ||
| B、x=1 | ||
| C、y=1 | ||
D、y=
|
抛物线y=-4x2的焦点坐标是( )
| A、(0,1) | ||
B、(0,
| ||
C、(0,-
| ||
| D、(0,-1) |