题目内容

如图,C是以AB为直径的半圆O上的一点,过C的直线交直线AB于E,交过A点的切线于D,BC∥OD.

(Ⅰ)求证:DE是圆O的切线;

(Ⅱ)如果AD=AB=2,求EB.

 

【答案】

(Ⅰ)见解析;(Ⅱ).

【解析】

试题分析:(Ⅰ)连接,根据直径所对的圆心角是直角可知,,结合已知条件“”得,,所以的中垂线,由中垂线的性质可得到,,把角转化为,即可得到,则结论可证;(Ⅱ)先根据两个对应角相等得到,由相似三角形对应线段成比例求出线段的值,进一步求出的值,由平行线分线段成比例可得到的值,从而解出.

试题解析:(Ⅰ)连接

是直径,则.

得,

的中垂线,

所以

所以

,即是圆的切线.                          5分

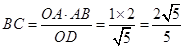
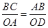
(Ⅱ)因为

所以

则有

所以,那么

所以

所以

所以

解得.                          10分

考点:1.三角形相似的判定及其性质;2.平行线分线段成比例;3.切线的性质及判定

 

练习册系列答案
相关题目

违法和不良信息举报电话:027-86699610 举报邮箱:58377363@163.com

精英家教网