题目内容
(1)已知函数f(x)的定义域为[1,2],求函数y=f(2x+1)的定义域;
(2)已知函数y=f(2x+1)的定义域为[1,2],求函数y=f(x)的定义域;
(3)已知函数y=f(2x+1)的定义域为[1,2],求函数y=f(2x-1)的定义域。
(2)已知函数y=f(2x+1)的定义域为[1,2],求函数y=f(x)的定义域;
(3)已知函数y=f(2x+1)的定义域为[1,2],求函数y=f(2x-1)的定义域。
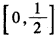
解:(1)设2x+1=t,由于函数y=f(t)的定义域为[1,2],故1≤t≤2,即1≤2x+1≤2,解得0≤x≤
,
所以函数y=f(2x+1)的定义域为
;
(2)设2x+1=t,因为1≤x≤2,所以3≤2x+1≤5,即3≤t≤5,函数y=f(t)的定义域为[3,5]
由此得函数y=f(x)的定义域为[3,5];
(3)因为函数y=f(2x+1)的定义域为[1,2],即1≤x≤2,所以3≤2x+1≤5,
所以函数y=f(x)的定义域为[3,5],
由3≤2x-1≤5,得2≤x≤3,
所以函数y=f(2x-1)的定义域为[2,3]。
所以函数y=f(2x+1)的定义域为
(2)设2x+1=t,因为1≤x≤2,所以3≤2x+1≤5,即3≤t≤5,函数y=f(t)的定义域为[3,5]
由此得函数y=f(x)的定义域为[3,5];
(3)因为函数y=f(2x+1)的定义域为[1,2],即1≤x≤2,所以3≤2x+1≤5,
所以函数y=f(x)的定义域为[3,5],
由3≤2x-1≤5,得2≤x≤3,
所以函数y=f(2x-1)的定义域为[2,3]。
练习册系列答案
相关题目