题目内容
边长为1的菱形
中,
,
,
,则
.
【答案】
![]()
【解析】
试题分析:由
有
是
中点,由
有
为
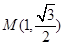
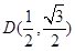
的三等分点,以
为
轴,以
为坐标原点,建立直角坐标系,则
,
,
,
,∴
,由
,有
,∴
.
考点:1.向量的性质;2.向量运算转化为数值运算.
练习册系列答案
相关题目
在四棱锥P-ABCD中,底面是边长为1的菱形,∠ABC=60°,PA⊥底面ABCD,PA=1,则异面直线AB与PD所成角的余弦值为( )
A、
| ||||
B、
| ||||
C、
| ||||
D、
|