搜索
题目内容
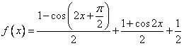
已知函数
,x∈R。
(1)求函数f(x)最值与最小正周期;
(2)求使不等式
(x∈[0,π])成立的x的取值范围。
试题答案
相关练习册答案
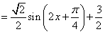
解:(1)
,
∴
,
,T=π。
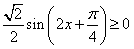
(2)由
得,
,
∴
,
∴
,
,
又∵
,
∴x的取值范围是
。
练习册系列答案
名题文化步步高书系寒假作业武汉出版社系列答案
Happy寒假作业快乐寒假系列答案
金象教育U计划学期系统复习寒假作业系列答案
八斗才火线计划寒假西安交通大学出版社系列答案
伴你成长橙色寒假系列答案
帮你学寒假作业系列答案
备战中考寒假系列答案
创新大课堂系列丛书寒假作业系列答案
创新自主学习寒假新天地系列答案
创优教学寒假作业年度总复习系列答案
相关题目
已知函数
(x∈R).若
,
.求cos2x
的值.
已知函数
,x∈R,且
(1)求A的值;
(2)设
,
,
,求cos(α+β)的值.
已知函数
(x∈R).
(1)求函数f(x)的最小正周期;
(2)求使函数f(x)取得最大值的x的集合;
(3)求函数f(x)的单调递增区间.
已知函数
,x∈R
(1)求函数f(x)的最大值及对应的x的取值集合;
(2)在给定的坐标系中,画出函数y=f(x)在[0,π]上的图象.
已知函数
,x∈R,且
(1)求A的值;
(2)设
,
,
,求cos(α+β)的值.
关 闭
试题分类
高中
数学
英语
物理
化学
生物
地理
初中
数学
英语
物理
化学
生物
地理
小学
数学
英语
其他
阅读理解答案
已回答习题
未回答习题
题目汇总
试卷汇总
练习册解析答案