题目内容
设函数A.x1+x2>0,y1+y2>0
B.x1+x2>0,y1+y2<0
C.x1+x2<0,y1+y2>0
D.x1+x2<0,y1+y2<0
【答案】分析:构造函数设F(x)=x3-bx2+1,则方程F(x)=0与f(x)=g(x)同解,可知其有且仅有两个不同零点x1,x2.利用函数与导数知识求解.
解答:解:设F(x)=x3-bx2+1,则方程F(x)=0与f(x)=g(x)同解,故其有且仅有两个不同零点x1,x2.
由F'(x)=0得x=0或
.这样,必须且只须F(0)=0或
,
因为F(0)=1,故必有
由此得
.不妨设x1<x2,则
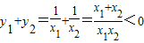
.所以
,
比较系数得
,故
.
,
由此知
,
故选B.
点评:本题考查的是函数图象,但若直接利用图象其实不易判断,为此利用了构造函数的方法,利用函数与导数知识求解.要求具有转化、分析解决问题的能力.题目立意较高,很好的考查能力.
解答:解:设F(x)=x3-bx2+1,则方程F(x)=0与f(x)=g(x)同解,故其有且仅有两个不同零点x1,x2.
由F'(x)=0得x=0或
因为F(0)=1,故必有
比较系数得
由此知
故选B.
点评:本题考查的是函数图象,但若直接利用图象其实不易判断,为此利用了构造函数的方法,利用函数与导数知识求解.要求具有转化、分析解决问题的能力.题目立意较高,很好的考查能力.
练习册系列答案
相关题目