题目内容

设函数.

⑴求函数的单调区间;

⑵求函数的值域;

⑶已知恒成立,求实数的取值范围.

 

【答案】

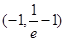
(1)详见解析;(2);(3).

【解析】

试题分析:(1)判断函数的单调区间,一般利用其导数的符号判断,使导函数为正的区间是增区间,使函数为负的区间是减区间;(2)函数的值域则可利用(1)中得到的函数的单调性进行求解;(3)恒成立问题则常用分离参数的方法,转化为求函数的最值问题,而求函数的最值则仍可利用导数去判断函数的单调性.

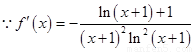
试题解析:⑴,由解得

解得,

故函数的单调递增区间是,单调递减区间是.

                                                    4分

⑵当时,解得,由⑴可知函数上递增,在上递减,

在区间上,

在区间上,函数的值域为.        8分

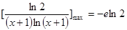
,两边取自然对数得

恒成立,则

由⑵可知当时,.   12分

考点:函数与导数、函数的单调性、不等式恒成立.

 

练习册系列答案
相关题目

违法和不良信息举报电话:027-86699610 举报邮箱:58377363@163.com

精英家教网