题目内容
函数f(x)=(|x|-1)(x+a)为奇函数,则f(x)增区间为 .
【答案】分析:先利用函数f(x)=|x|-1(x+a)是定义在R上的奇函数,求得参数a,进而可求函数f(x)的递增区间.
解答:解:由题意得f(-x)=-f(x),
∴f(0)=0
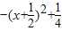
即a=0,f(x)=(|x|-1)x=
根据二次函数的性质可知,g(x)=x2-x=
在[
,+∞)单调递增,h(x)=-x2-x=
单调递增
所以函数f(x)的递增区间为(-∞,-
],
故答案为(-∞,-
],
点评:本题的考点是奇偶性与单调性的综合,主要考查利用奇偶函数的定义求参数,考查函数的单调性,关键是参数的确定,从而确定函数的解析式.
解答:解:由题意得f(-x)=-f(x),
∴f(0)=0
即a=0,f(x)=(|x|-1)x=
根据二次函数的性质可知,g(x)=x2-x=
所以函数f(x)的递增区间为(-∞,-
故答案为(-∞,-
点评:本题的考点是奇偶性与单调性的综合,主要考查利用奇偶函数的定义求参数,考查函数的单调性,关键是参数的确定,从而确定函数的解析式.
练习册系列答案
相关题目