题目内容
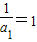
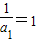
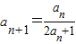
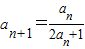
在数列{an}中,a1=1,并且对于任意n∈N*,都有(1)证明数列{
(2)设数列{anan+1}的前n项和为Tn,求使得
【答案】分析:(1)
,
,所以
,由此能求出{an}的通项公式.
(2)因为
=
,所以Tn=a1a2+a2a3+…+anan+1=
=
,由
,得最小正整数n为91.
解答:解:(1)
,
因为
,所以
,
∴数列
是首项为1,公差为2的等差数列,(4分)
∴
,
从而an=
.(6分)
(2)因为
=
(8分)
所以Tn=a1a2+a2a3+…+anan+1
=
=
(10分)
由
,得
,最小正整数n为91.(12分)
点评:本题考查数列的通项公式的求法和前n项和的求法,解题时要注意构造成法和裂项求和法的合理运用.
(2)因为
解答:解:(1)
因为
∴数列
∴
从而an=
(2)因为
所以Tn=a1a2+a2a3+…+anan+1
=
=
由
点评:本题考查数列的通项公式的求法和前n项和的求法,解题时要注意构造成法和裂项求和法的合理运用.
练习册系列答案
相关题目