题目内容
等差数列{an},{bn}的前n项和分别为Sn,Tn,若A.
B.
C.
D.
【答案】分析:利用等差数列的性质求得
,然后代入
=
即可求得结果.
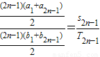
解答:解:∵
=
∴
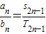
=
=
故选B.
点评:此题考查学生灵活运用等差数列通项公式化简求值,做题时要认真,是一道基础题.
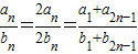
解答:解:∵
∴
故选B.
点评:此题考查学生灵活运用等差数列通项公式化简求值,做题时要认真,是一道基础题.
练习册系列答案
相关题目
题目内容
等差数列{an},{bn}的前n项和分别为Sn,Tn,若