题目内容
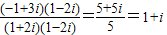
i是虚数单位,复数A.1+i
B.5+5i
C.-5-5i
D.-1-i
【答案】分析:进行复数的除法的运算,需要分子、分母同时乘以分母的共轭复数,同时将i2改为-1.
解答:解:进行复数的除法的运算需要分子、分母同时乘以分母的共轭复数,同时将i2改为-1.
∴
=
.
故选 A.
点评:本题主要考查复数代数形式的基本运算,2个复数相除,分母、分子同时乘以分母的共轭复数.
解答:解:进行复数的除法的运算需要分子、分母同时乘以分母的共轭复数,同时将i2改为-1.
∴
故选 A.
点评:本题主要考查复数代数形式的基本运算,2个复数相除,分母、分子同时乘以分母的共轭复数.
练习册系列答案
相关题目
已知i是虚数单位,复数z=
+i4的共轭复数
在复平面内对应点落在第( )象限.
| 1+i |
| 1-i |
. |
| z |
| A、一 | B、二 | C、三 | D、四 |
设i是虚数单位,复数z=tan45°-isin60°,则z2等于( )
A、
| ||||
B、
| ||||
C、
| ||||
D、
|
设i是虚数单位,复数
的虚部为( )
| 10 |
| 3-i |
| A、-i | B、-1 | C、i | D、1 |