题目内容
已知函数f(t)=(Ⅰ)将函数g(x)化简成Asin(ωx+φ)+B(A>0,ω>0,φ∈[0,2π))的形式;
(Ⅱ)求函数g(x)的值域.
本小题主要考查函数的定义域、值域和三角函数的性质等基本知识,考查三角恒等变换、代数式的化简变形和运算能力.
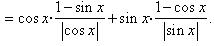
解:(Ⅰ)![]()
![]()
![]()
![]()
![]()
![]()
=![]()
(Ⅱ)由
得![]()
在
上为减函数,在
上为增函数,
又
(当
),
即![]()
故g(x)的值域为![]()
练习册系列答案
相关题目
题目内容
已知函数f(t)=(Ⅰ)将函数g(x)化简成Asin(ωx+φ)+B(A>0,ω>0,φ∈[0,2π))的形式;
(Ⅱ)求函数g(x)的值域.
本小题主要考查函数的定义域、值域和三角函数的性质等基本知识,考查三角恒等变换、代数式的化简变形和运算能力.
解:(Ⅰ)![]()
![]()
![]()
![]()
![]()
![]()
=![]()
(Ⅱ)由
得![]()
在
上为减函数,在
上为增函数,
又
(当
),
即![]()
故g(x)的值域为![]()