题目内容
如图,在平面直角坐标系xOy中,以Ox轴为始边做两个锐角α,β,它们的终边分别与单位圆相交于A、B两点,已知A、B的横坐标分别为(1)求tan(α-β)的值;
(2)求α+β的值.
【答案】分析:(1)由题可知cosα,cosβ,由同角三角函数的基本关系可得
,代入两角差的正切公式可得;(2)由(1)可得
,再由
,可得其值.
解答:解:(1)由题可知:
,
. (2分)
由于α,β为锐角,则
(4分)
故
.
则
(6分)
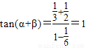
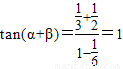
(2)∵
(9分)
,
,即
故
(12分)
点评:本题考查两角和与差的正切函数,涉及角的范围的确定,属中档题.
解答:解:(1)由题可知:
由于α,β为锐角,则
故
则
(2)∵
故
点评:本题考查两角和与差的正切函数,涉及角的范围的确定,属中档题.
练习册系列答案
相关题目
| A、偶函数 | B、奇函数 | C、不是奇函数,也不是偶函数 | D、奇偶性与k有关 |