题目内容
(1)求m的值与椭圆E的方程;
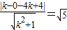
(2)设Q为椭圆E上的一个动点,求
【答案】分析:(1)先利用点A在圆上求出m,再利用直线PF1与圆C相切求出直线PF1与的方程以及c,再利用点A在椭圆上求出2a,即可求出椭圆E的方程;
(2)先把
用点Q的坐标表示出来,再利用Q为椭圆E上的一个动点以及基本不等式即可求出
的取值范围.
解答:解:(1)点A代入圆C方程,得(3-m)2+1=5.
∵m<3,
∴m=1.
设直线PF1的斜率为k,
则PF1:y=k(x-4)+4,即kx-y-4k+4=0.
∵直线PF1与圆C相切,圆C:(x-1)2+y2=5,
∴
,
解得
.
当k=
时,直线PF1与x轴的交点横坐标为
,不合题意,舍去.
当k=
时,直线PF1与x轴的交点横坐标为-4,
∴c=4.
∴F1(-4,0),F2(4,0).
故2a=AF1+AF2=
,
,a2=18,b2=2.
椭圆E的方程为:
.
(2)
,设Q(x,y),
,
.
∵
,即x2+(3y)2=18,而x2+(3y)2≥2|x|•|3y|,
∴-18≤6xy≤18.
则(x+3y)2=x2+(3y)2+6xy=18+6xy的取值范围是[0,36].
∴x+3y的取值范围是[-6,6]
∴x+3y-6的范围只:[-12,0].
即
的取值范围是[-12,0].
点评:本题是对圆与椭圆知识的综合考查.当直线与圆相切时,可以利用圆心到直线的距离等于半径求解.,也可以把直线与圆的方程联立让对应方程的判别式为0求解.
(2)先把
解答:解:(1)点A代入圆C方程,得(3-m)2+1=5.
∵m<3,
∴m=1.
设直线PF1的斜率为k,
则PF1:y=k(x-4)+4,即kx-y-4k+4=0.
∵直线PF1与圆C相切,圆C:(x-1)2+y2=5,
∴
解得
当k=
当k=
∴c=4.
∴F1(-4,0),F2(4,0).
故2a=AF1+AF2=
椭圆E的方程为:
(2)
∵
∴-18≤6xy≤18.
则(x+3y)2=x2+(3y)2+6xy=18+6xy的取值范围是[0,36].
∴x+3y的取值范围是[-6,6]
∴x+3y-6的范围只:[-12,0].
即
点评:本题是对圆与椭圆知识的综合考查.当直线与圆相切时,可以利用圆心到直线的距离等于半径求解.,也可以把直线与圆的方程联立让对应方程的判别式为0求解.
练习册系列答案
相关题目