题目内容
已知曲线C:y=3x4-2x3-9x2+4(1)求曲线C上切点的横坐标为1的切线l的方程
(2)第(1)问中的切线l与曲线C是否还有其他公共点?如果有,请求出交点坐标.
【答案】分析:(1)根据导数的几何意义求出函数在x=1处的导数,从而得到切线的斜率,再利用点斜式方程写出切线方程即可.
(2)由(1)得出的切线方程与y=3x4-2x3-9x2+4组成方程组,解得两组解,从而得出切线与曲线C还有其他的公共点.
解答:解:(1)y'=12x3-6x2-18x,
y'|x=1=12×13-6×12-18×1=-12,
而切点的坐标为(1,-4)
∴曲线y=3x4-2x3-9x2+4在x=1的处的切线方程为:y+4=-12(x-1),即12x+y-8=0;
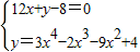
(2)由方程组:
解得:
或
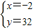
故切线与曲线C还有其他的公共点:(-2,32).
点评:本题主要考查了利用导数研究曲线上某点切线方程,考查运算求解能力和方程思想,属于基础题.
(2)由(1)得出的切线方程与y=3x4-2x3-9x2+4组成方程组,解得两组解,从而得出切线与曲线C还有其他的公共点.
解答:解:(1)y'=12x3-6x2-18x,
y'|x=1=12×13-6×12-18×1=-12,
而切点的坐标为(1,-4)
∴曲线y=3x4-2x3-9x2+4在x=1的处的切线方程为:y+4=-12(x-1),即12x+y-8=0;
(2)由方程组:
解得:
故切线与曲线C还有其他的公共点:(-2,32).
点评:本题主要考查了利用导数研究曲线上某点切线方程,考查运算求解能力和方程思想,属于基础题.
练习册系列答案
相关题目