题目内容
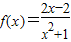
已知函数(I)求f(x)的解析式;
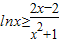
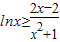
(II)设函数g(x)=lnx,证明:g(x)≥f(x)对x∈[1,+∞)恒成立.
【答案】分析:(Ⅰ)把切点代入切线方程可得a+b=0,再根据导数的几何意义可得f′(1)=1,又得到关于a、b的方程,联立解出即可.
(Ⅱ)把要证
在[1,+∞)上恒成立,等价转化为即证x2lnx+lnx-2x+2≥0在[1,+∞)上恒成立.进而利用导数求出函数h(x)=x2lnx+lnx-2x+2的最小值大于0即可.
解答:(Ⅰ)解:将x=1代入切线方程x-y-1=0,得y=0,∴f(1)=0.
又
,化简得a+b=0.
,
.
解得a=2,b=-2,
∴
.
(Ⅱ)证明:要证
在[1,+∞)上恒成立,
即证(x2+1)lnx≥2x-2在[1,+∞)上恒成立,
即证x2lnx+lnx-2x+2≥0在[1,+∞)上恒成立.
设h(x)=x2lnx+lnx-2x+2,则
.
∵x≥1,∴
,即h'(x)≥0.
∴h(x)在[1,+∞)上x∈[1,+∞)单调递增,h(x)≥h(1)=0
∴g(x)≥f(x)在上恒成立.
点评:掌握利用导数的几何意义求切线的斜率及求函数的单调性是解题关键,必须熟练解出,并学会将问题进行等价转化.
(Ⅱ)把要证
解答:(Ⅰ)解:将x=1代入切线方程x-y-1=0,得y=0,∴f(1)=0.
又
解得a=2,b=-2,
∴
(Ⅱ)证明:要证
即证(x2+1)lnx≥2x-2在[1,+∞)上恒成立,
即证x2lnx+lnx-2x+2≥0在[1,+∞)上恒成立.
设h(x)=x2lnx+lnx-2x+2,则
∵x≥1,∴
∴h(x)在[1,+∞)上x∈[1,+∞)单调递增,h(x)≥h(1)=0
∴g(x)≥f(x)在上恒成立.
点评:掌握利用导数的几何意义求切线的斜率及求函数的单调性是解题关键,必须熟练解出,并学会将问题进行等价转化.
练习册系列答案
相关题目