题目内容
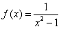
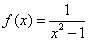
已知函数
。
(1)设f(x)的定义域为A,求集合A;
(2)判断函数f(x)在(1,+∞)上的单调性,并用定义加以证明。
(1)设f(x)的定义域为A,求集合A;
(2)判断函数f(x)在(1,+∞)上的单调性,并用定义加以证明。
解:(1)由
,得x≠±1,
所以,函数
的定义域为{x∈R|x≠±1}。
(2)函数
在(1,+∞)上单调递减;
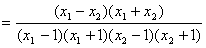
证明:任取
,设
,则
,

,

,
,
又
,所以
,故
,
因此,函数
在(1,+∞)上单调递减。
所以,函数
(2)函数
证明:任取
又
因此,函数
练习册系列答案
相关题目