题目内容
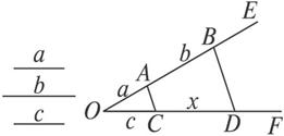
已知线段a,b,c,求作a,b,c的第四比例项x..
解析:据第四比例项意义有
,作法如下:
(1)任作∠EOF.
(2)在OE上顺次截取OA=a,AB=b,在OF上截取OC=c.
(3)连结AC,过B作BD∥AC,交OF于D,
则线段CD就是所求x(见图).
![]()
图1-2-16
练习册系列答案
相关题目
已知点A(2,0,-3),B(4,2,1),点P是线段AB的中点,那么点P的坐标是( )
| A、(3,1,-1) | B、(3,1,-2) | C、(4,1,-2) | D、(-3,1,-1) |