题目内容
在△ABC中,C=75°,c=5
+5,a=5
,解三角形。
解:
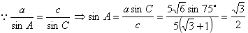
,
∴此三角形恰一解,且A<C,
,
∴
(或A=120°因A<C舍去),
则B=45°,
由
,
此三角形:
。
∴此三角形恰一解,且A<C,
∴
则B=45°,
由
此三角形:
练习册系列答案
相关题目
在△ABC中,a=7,b=3,c=5,则A等于( )
| A、60° | B、90° | C、120° | D、150° |
题目内容
| A、60° | B、90° | C、120° | D、150° |