题目内容
已知正方形的中心G(-1,0),一条边上所在的直线方程为
:x+3y-5=0,求正方形其它三边所在直线的方程。
解:设与
平行的边所在的直线方程是:x+3y+m=0(m≠-5),
与
垂直的边坐在的直线方程是:3x-7y+n=0,
设正方形的中心到
的距离为d,
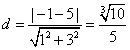
则
,
所以
,
解得:m=7或m=-5(舍),n=9或n=-3,
从而,可得其它三边所在的直线方程为:x+3y+7=0,3x-y+9=0,3x-y-3=0。
与
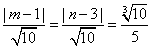
设正方形的中心到
则
所以
解得:m=7或m=-5(舍),n=9或n=-3,
从而,可得其它三边所在的直线方程为:x+3y+7=0,3x-y+9=0,3x-y-3=0。
练习册系列答案
相关题目