题目内容
数列{an}是公差不为0的等差数列,且a1,a3,a7为等比数列{bn}的连续三项,则数列{bn}的公比为( )A.
B.4
C.2
D.
【答案】分析:先由a1,a3,a7为等比数列{bn}的连续三项,找到a1=2d,再利用等比数列公比的求法求出即可.
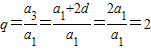
解答:解:设数列{an}的公差为d(d≠0),由a32=a1a7得(a1+2d)2=a1(a1+6d)⇒a1=2d,
故
,
故选 C.
点评:本题是对等差数列和等比数列的综合考查.在求等比数列的公比时,只要知道数列中的任意两项就可求出公比.
解答:解:设数列{an}的公差为d(d≠0),由a32=a1a7得(a1+2d)2=a1(a1+6d)⇒a1=2d,
故
故选 C.
点评:本题是对等差数列和等比数列的综合考查.在求等比数列的公比时,只要知道数列中的任意两项就可求出公比.
练习册系列答案
相关题目