题目内容
已知{an}为等差数列,Sn为其前n项和,若a1=
【答案】分析:设等差数列的公差为d,由题意可得 3×
+
d=3,解得d的值,再由Sn=na1+
d,运算求得结果.
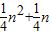
解答:解:设等差数列的公差为d,由题意可得 3×
+
d=3,解得d=
,
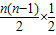
故Sn=na1+
d=
+
=
,
故答案为
.
点评:本题主要考查等差数列的前n项和公式的应用,属于基础题.
解答:解:设等差数列的公差为d,由题意可得 3×
故Sn=na1+
故答案为
点评:本题主要考查等差数列的前n项和公式的应用,属于基础题.
练习册系列答案
相关题目